【サイト内検索】
【外部リンク】
受験準備講習会のご案内
- セミナー名
- 労働衛生コンサルタント受験準備講習会(詳細は準備中)
- 講師
- 柳川行雄(当サイト管理者)
- 開催日
- 2026年7月9月11月それぞれテーマを変えて1日で実施
- 形態
- 会場受講又はオンライン受講
- 受講料
- 55,000円/回(割引あり)
熱中症対策研修会のご案内
- セミナー名
- 労働安全衛生管理上求められる企業における熱中症対策
- 講師
- 柳川行雄(当サイト管理者)
- 開催日
- 2026年5月15日
- 形態
- オンライン受講
- 受講料
- 50,600円(会員割引あり)
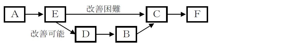
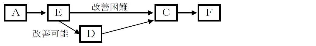
問4 有機溶剤業務を行う屋内作業場で、定期に作業環境測定を行わなければならない場所について、定期に実施した作業環境測定結果の評価の結果が第三管理区分に区分された場合(図中のA)、その後、事業者が実施しなければならない作業環境改善措置等を示した次の(1)~(5)の流れ図のうち、労働安全衛生法令上、正しいものはどれか。
なお、図中のA~Fの記号は、それぞれ次の措置等を示すものとする。
A 6か月以内ごとに1回、定期に行う有機溶剤の濃度の測定及びその結果の評価(結果が第三管理区分)
B 有機溶剤の濃度の測定及びその結果の評価(ただし、その評価の結果が第三管理区分であるものとする。)
C 個人サンプリング測定等による有機溶剤の濃度の測定
D 作業環境を第一管理区分又は第二管理区分とするために必要な措置の実施
E 作業環境管理専門家からの意見聴取(第一管理区分又は第二管理区分とすることの可否及び改善可能な場合に必要な措置の内容についての意見聴取であり、図中の「改善可能」又は「改善困難」は意見聴取の結果に応じた流れを示す。)
F 第一管理区分又は第二管理区分と評価されるまでの間、6か月以内ごとに1回、定期に行う個人サンプリング測定等による有機溶剤の濃度の測定
| (1) | ![]() |
| (2) | ![]() |
| (3) | ![]() |
| (4) | ![]() |
| (5) | ![]() |
※ イメージ図(©photoAC)
このページは、2025年の労働安全衛生コンサルタント試験の「労働衛生関係法令」問題の解説と解答例を示しています。
解説文中の法令の名称等は、適宜、略語を用いています。また、引用している法令は、読みやすくするために漢数字を算用数字に変更する(号番号等を除く)などの修正を行いました。
他の問題の解説をご覧になる場合は、「下表の左欄」、グローバルナビの「安全衛生試験の支援」又は「パンくずリスト」をご利用ください。
柳川に著作権があることにご留意ください。
| 2025年度(令和7年度) | 問04 | 難易度 | 化学物質の自律的管理と同時に改正された条文に基づく問題。 |
|---|---|---|---|
| 作業環境測定に基づく措置 | 4 |
※ 難易度は本サイトが行ったアンケート結果の正答率に基づく。
5:50%未満 4:50%以上60%未満 3:60%以上70%未満 2:70%以上80%未満 1:80%以上
問4 有機溶剤業務を行う屋内作業場で、定期に作業環境測定を行わなければならない場所について、定期に実施した作業環境測定結果の評価の結果が第三管理区分に区分された場合(図中のA)、その後、事業者が実施しなければならない作業環境改善措置等を示した次の(1)~(5)の流れ図のうち、労働安全衛生法令上、正しいものはどれか。
なお、図中のA~Fの記号は、それぞれ次の措置等を示すものとする。
A 6か月以内ごとに1回、定期に行う有機溶剤の濃度の測定及びその結果の評価(結果が第三管理区分)
B 有機溶剤の濃度の測定及びその結果の評価(ただし、その評価の結果が第三管理区分であるものとする。)
C 個人サンプリング測定等による有機溶剤の濃度の測定
D 作業環境を第一管理区分又は第二管理区分とするために必要な措置の実施
E 作業環境管理専門家からの意見聴取(第一管理区分又は第二管理区分とすることの可否及び改善可能な場合に必要な措置の内容についての意見聴取であり、図中の「改善可能」又は「改善困難」は意見聴取の結果に応じた流れを示す。)
F 第一管理区分又は第二管理区分と評価されるまでの間、6か月以内ごとに1回、定期に行う個人サンプリング測定等による有機溶剤の濃度の測定
| (1) | ![]() |
| (2) | ![]() |
| (3) | ![]() |
| (4) | ![]() |
| (5) | ![]() |
正答(3)
【解説】
次表に、実施するべき条文を時系列的に上から下に並べた。ここから明らかなように、(3)が正答となる。
ここで、有規則第 28 条及び第 28 条の3は従来より規定されていたものであり、このときは作業環境の改善が可能であることが前提となっている制度であった。そのため、改善を行っても第二管理区分にならなかった場合の措置が定められていなかったのである。
※ 厳密には、第三管理区分のままとなっている状態は、法律上は少なくとも第二管理区分にしなければならないのにしていないのであるから、安衛法に違反していることになる。しかし、現実には第三管理区分のままとなっている作業場も多く、違反状態のまま放置されているという形になっていた。
第 28 条の3の2は、少なくとも第二管理区分にはできるはずであり、そうしなければならないという「建前」よりも、現実に第三管理区分の作業場があるのだから、それをなんとかしようという「現実主義」を採用したともいえる。
ただ、最初の測定で第三管理区分になったとき、いきなり専門家に改善が可能かどうか等の意見を聴くのではなく、まず従来の対応を取った上で専門家の意見を聴くこととされたのである(※)。
※ 大都市圏は別として、そもそも必要な専門家がいない地域もあることが考慮されたのであろう。
なお、有規則第 28 条の3の2については、当サイトの「作業環境測定の第3管理区分への対応」を参照されたい。
| 第 28 条第2項(A) | |
|---|---|
| 第 28 条の3第1項(D) | |
| 第 28 条の3第2項(B) | |
| 第 28 条の3の2第1項(E) | |
| 【改善可能】 | 【改善困難】 |
| 第 28 条の3の2第2項(D) | |
| 第 28 条の3の2第3項(B) | |
| 第 28 条の3の2第4項(第一号)(C) | |
| 第 28 条の3の2第5項(第一号)(F) | |
【有機溶剤中毒予防規則】
(評価の結果に基づく措置)
第28条 令第21条第十号の厚生労働省令で定める業務は、令別表第六の二第一号から第四十七号までに掲げる有機溶剤に係る有機溶剤業務のうち、第3条第1項の場合における同項の業務以外の業務とする。
2 事業者は、前項の業務を行う屋内作業場について、6月以内ごとに1回、定期に、当該有機溶剤の濃度を測定しなければならない。
3 (略)
(評価の結果に基づく措置)
第28条の3 事業者は、前条第1項の規定による評価の結果、第三管理区分に区分された場所については、直ちに、施設、設備、作業工程又は作業方法の点検を行い、その結果に基づき、施設又は設備の設置又は整備、作業工程又は作業方法の改善その他作業環境を改善するため必要な措置を講じ、当該場所の管理区分が第一管理区分又は第二管理区分となるようにしなければならない。
2 事業者は、前項の規定による措置を講じたときは、その効果を確認するため、同項の場所について当該有機溶剤の濃度を測定し、及びその結果の評価を行わなければならない。
3及び4 (略)
第28条の3の2 事業者は、前条第2項の規定による評価の結果、第三管理区分に区分された場所(同条第1項に規定する措置を講じていないこと又は当該措置を講じた後同条第2項の評価を行つていないことにより、第一管理区分又は第二管理区分となつていないものを含み、第5項各号の措置を講じているものを除く。)については、遅滞なく、次に掲げる事項について、事業場における作業環境の管理について必要な能力を有すると認められる者(当該事業場に属さない者に限る。以下この条において「作業環境管理専門家」という。)の意見を聴かなければならない。
一 当該場所について、施設又は設備の設置又は整備、作業工程又は作業方法の改善その他作業環境を改善するために必要な措置を講ずることにより第一管理区分又は第二管理区分とすることの可否
二 当該場所について、前号において第一管理区分又は第二管理区分とすることが可能な場合における作業環境を改善するために必要な措置の内容
2 事業者は、前項の第三管理区分に区分された場所について、同項第一号の規定により作業環境管理専門家が第一管理区分又は第二管理区分とすることが可能と判断した場合は、直ちに、当該場所について、同項第二号の事項を踏まえ、第一管理区分又は第二管理区分とするために必要な措置を講じなければならない。
3 事業者は、前項の規定による措置を講じたときは、その効果を確認するため、同項の場所について当該有機溶剤の濃度を測定し、及びその結果を評価しなければならない。
4 事業者は、第1項の第三管理区分に区分された場所について、前項の規定による評価の結果、第三管理区分に区分された場合又は第一項第一号の規定により作業環境管理専門家が当該場所を第一管理区分若しくは第二管理区分とすることが困難と判断した場合は、直ちに、次に掲げる措置を講じなければならない。
一 当該場所について、厚生労働大臣の定めるところにより、労働者の身体に装着する試料採取器等を用いて行う測定その他の方法による測定(以下この条において「個人サンプリング測定等」という。)により、有機溶剤の濃度を測定し、厚生労働大臣の定めるところにより、その結果に応じて、労働者に有効な呼吸用保護具を使用させること(当該場所において作業の一部を請負人に請け負わせる場合にあつては、労働者に有効な呼吸用保護具を使用させ、かつ、当該請負人に対し、有効な呼吸用保護具を使用する必要がある旨を周知させること。)。ただし、前項の規定による測定(当該測定を実施していない場合(第1項第一号の規定により作業環境管理専門家が当該場所を第一管理区分又は第二管理区分とすることが困難と判断した場合に限る。)は、前条第二項の規定による測定)を個人サンプリング測定等により実施した場合は、当該測定をもつて、この号における個人サンプリング測定等とすることができる。
二~四 (略)
5 事業者は、前項の措置を講ずべき場所について、第一管理区分又は第二管理区分と評価されるまでの間、次に掲げる措置を講じなければならない。この場合においては、第28条第2項の規定による測定を行うことを要しない。
一 6月以内ごとに1回、定期に、個人サンプリング測定等により有機溶剤の濃度を測定し、前項第一号に定めるところにより、その結果に応じて、労働者に有効な呼吸用保護具を使用させること。
二及び三 (略)
6及び7 (略)










